ACT HelperACT Helper
Browse ACT math questions by topic
Practice
Practice timed math sections
Pricing | → Login
    See all search results
  1. Home
  2. Z15 Math
  3. Question 15
  • 2019 April(Z15) Math Question 15

    Exponents, Radicals, & Scientific Notation

    - Radical Expressions

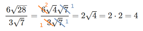
    Choice A

    Skills you are tested for:

    Was this explanation helpful?
    Thanks for your feedback! ❤️
  • Comments

    To leave a comment,
    or Log in
TwitterFacebookDiscordEmail

© 2026 ACT Helper, an Ease.so product. All rights reserved.